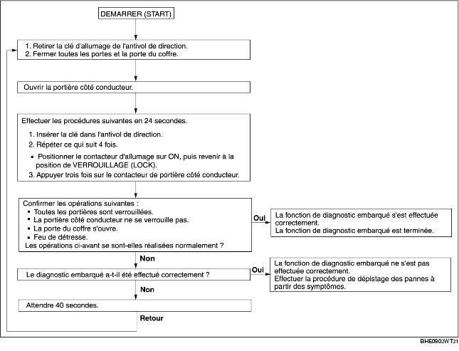
DIAGNOSTIC EMBARQUE DU SYSTEME D'ACCES A DISTANCE
BHE090369000W02
-
Remarque
-
• Lorsque le contacteur de non-ouverture de la porte du coffre est positionné sur ON, la porte du coffre refuse de s'ouvrir, même si le bouton d'ouverture du coffre est enfoncé. Vérifier que le contacteur de non-ouverture de la porte du coffre n'est pas positionné sur OFF au moment d'effectuer le test de dignostic embraqué.
-
• Le contacteur de non-ouverture de la porte du coffre est situé dans la boîte à gants.
