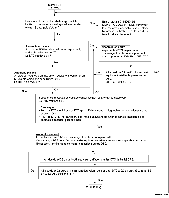
ORGANIGRAMME
BHE080201046W02
• Utiliser l'organigramme suivant pour déterminer la cause du problème.
-
Remarque
-
• Lors de l'inspection du code d'anomalie antérieur, les DTC applicables peuvent également être ajoutés à la mémoire en déposant ou en débranchant les éléments correspondants. N'inspecter que les DTC indiqués avant l'inspection.
-
• Lorsque des DTC de l'anomalie en cours n'apparaissent plus après réparation des anomalies en cours ou antérieures, veiller à procéder à l'annulation de l'affichage des anomalies antérieures afin d'éviter la réparation de toute anomalie déjà réparée.
